Media
HKU Scholars Discover Optimal “Dose” of Urban Greenness for Mental Health Benefits
"Moderation is Best" Rather Than "The Greener, the Better"
09 Nov 2025
As cities around the world grapple with escalating mental health challenges, researchers from The University of Hong Kong (HKU) have pinpointed the ideal levels of urban greenness that maximise psychological well-being. Published in Nature Cities, HKU’s latest study synthesises four decades of global evidence to demonstrate a curvilinear—inverted-U—dose-response relationship, challenging the long-held assumption “greener is always better.”
The World Health Organization reports that one in eight people worldwide lives with a mental disorder, yet only 28% receive adequate treatment. Amid this crisis, urban greening has gained prominence as a scalable, cost-effective intervention. Extensive research links exposure to green spaces with lower stress, anxiety, and depression, alongside enhanced cognitive function. However, prior studies have yielded inconsistent results, often failing to define precise targets for urban planners and designers. A pivotal gap has been the form of the greenness-mental health relationship: while early work posited linearity, emerging evidence hints at an optimal moderate dose.
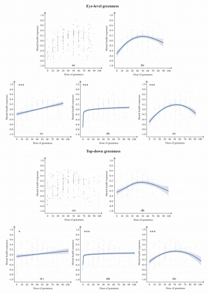
Led by Professor Bin JIANG, the project's principal investigator and Associate Professor at HKU’s Division of Landscape Architecture, the interdisciplinary team conducted a rigorous systematic review and meta-analysis, adhering to PRISMA guidelines. Screening 87,761 records from Scopus, Web of Science, and PubMed (1985–2025), they curated 69 quantitative dose-response curves—35 from eye-level perspectives (276 data points) and 34 from top-down views (251 data points)—encompassing studies across five continents and ten mental health outcome categories. Employing generalised additive models (GAM) and comparative curve fitting (linear, power, quadratic), evaluated via AIC, BIC, p-values, and adjusted R², the analysis confirmed a consistent inverted-U pattern: mental health improves with rising greenness up to a moderate threshold, plateaus, and then declines, potentially turning adverse.
Key thresholds emerged for practical application. For eye-level greenness—the view encountered in daily urban navigation—benefits peak at 53.1%, with a highly beneficial range of 46.2–59.5% and a non-adverse range of 25.3–80.2%. Top-down greenness (e.g., satellite-derived canopy cover) shows a peak at 51.2%, highly beneficial from 43.1–59.2%, and non-adverse up to 21.1–81.7%. These patterns align with foundational theories, including the Yerkes–Dodson Law, hormesis, and insights from evolutionary and environmental psychology, underscoring how moderate stimuli optimise human responses.
The findings offer transformative guidance for urban planning and public health. Rather than maximising greenness at all costs, cities should target these moderate doses to optimise benefits while conserving resources. Eye-level greening along streets and public realms emerges as particularly influential, warranting priority in design. Thresholds also enable planners to set minimums to protect mental health and moderates to avoid diminishing returns, supporting more equitable and efficient allocation of urban land and maintenance resources.
Professor Peng GONG, Vice-President and Pro-Vice-Chancellor (Academic Development), Chair Professor of Global Sustainability at the Department of Geography and the Department of Earth Sciences of HKU and a research team member, commented, "This work is a testament to using environmental interventions to address critical public health challenges. It provides a much-needed evidence base for achieving sustainable development goals related to health, well-being, and sustainable cities. By identifying patterns and thresholds of the dose-response curves, we empower cities to use their land and financial resources more efficiently to achieve maximum mental health returns on investment in green infrastructure."
Echoing this emphasis on theoretical and practical impact, Professor Jiang elaborated on the study's core discovery: "The most significant finding is that we find there is a generalised curve (an inverted-U shape curve) that can describe the dose-response relationship between greenness and mental health outcomes. This is a critical theoretical contribution. The finding could become a law in the field of environmental psychology and landscape architecture."
He further highlighted two pivotal implications: “First, it breaks a 'common sense' that more greenness is better for mental health. Our finding reveals that extremely low and extremely dense greenness has an adverse effect on mental health; In other words, a moderate level of greenness can provide optimal mental health benefits. In this study, we provide a table to suggest threshold values of greenness that are associated with non-adverse, satisfactory, highly beneficial, and optimal effects on mental health. This line of findings can guide the planning and public health professionals in allocating green landscape resources more accurately and beneficially.
“Second, the finding that 'moderate is best' can reduce the overuse of public resources in building too many green spaces. The development of urban environments involves balancing various land uses and public interests, so a city that is too green might not be necessary, and perhaps even detrimental, compared to a city that is too barren. When too much greenness is provided, it means the city must sacrifice opportunities to provide land for housing, public service, commercial and business functions, and infrastructure. The city or society will lose balance. This is especially true for Hong Kong because the city places a strong emphasis on nature conservation, while millions of people have to live in apartments that are crowded and narrow as pigeonholes.”
Complementing these insights, Professor Chris WEBSTER, Chair Professor of Urban Planning and Development Economics, emphasised the study's dual contribution, "First, we have provided robust, generalised evidence for a curvilinear relationship, ending decades of fragmented and sometimes contradictory findings. Second, we have translated this pattern into practical threshold values that can directly inform greening guidelines and landscape design standards."
The full paper published in Nature Cities can be accessed here: https://doi.org/10.1038/s44284-025-00285-z
About the Research Team
This research was led by Professor Bin Jiang, former Co-chair for the research and methods track of CELA (Council of Educators in Landscape Architecture), USA; founding director of the Urban Environments and Human Health Lab at HKU, fellow at the Urban System Institute, and Associate Professor at the Division of Landscape Architecture at HKU. The collaborative team includes Dr. Jiali LI, Lecturer, Division of Landscape Architecture, Faculty of Architecture, HKU; Professor Peng GONG, Department of Geography, Department of Earth Sciences, Urban Systems Institute, and Institute for Climate and Carbon Neutrality, HKU; Professor Chris WEBSTER, HKUrbanLabs, Faculty of Architecture, Urban Systems Institute, and Musketeers Foundation Institute of Data Science, HKU of Data Science, HKU; Professor Gunter SCHUMANN, Centre for Population Neuroscience and Stratified Medicine (PONS), King’s College London; Dr. Xueming LIU, Division of Landscape Architecture, Faculty of Architecture, HKU; and Professor Pongsakorn Suppakittpaisarn, Department of Plant and Soil Sciences, Faculty of Agriculture, Chiang Mai University.
This study is supported by the University Grants Committee (UGC) of Hong Kong SAR of the People's Republic of China, General Research Fund (GRF) No. 17606621. Professor Bin Jiang was the author who received the grant. This work also received support from the European Union-funded Horizon Europe project ‘environMENTAL’ (101057429) and co-funding by UK Research and Innovation under the UK Government’s Horizon Europe funding guarantee (10041392 and 10038599); the National Key R&D Program of the Ministry of Science and Technology of China (MOST 2023YFE0199700); and NSFC grant 82150710554.
About the UEHH Lab
The Urban Environment and Human Health (UEHH) Lab is founded and directed by Professor Bin Jiang. It is dedicated to building the fundamental scientific basis for Landscape Architecture and related fields. Its mission is threefold: 1) to contribute to the core scientific knowledge linking urban environments to human health; 2) to bridge science with arts and humanistic scholarship; and 3) to explicitly link scientific evidence to practice through guidelines, standards, and evaluations. The lab's key research explores how various urban environments, especially natural landscapes, influence human health and wellbeing; how cutting-edge techniques like virtual reality can be used to study these impacts; and how scientific evidence can be effectively translated to direct and support urban and landscape planning and design.
To promote knowledge exchange, more recent research activities can be viewed through https://uehh.hku.hk/
For media enquiries, please contact:
Professor Bin JIANG
Division of Landscape Architecture, Department of Architecture
The University of Hong Kong (HKU)
Urban Environments and Human Health Lab
The University of Hong Kong
https://uehh.hku.hk/
Email: jiangbin@hku.hk
Mobile/Whatsapp: 852-55796958