Media
HKU-Harvard physicists predict the novel entangled states
on programmable quantum simulators
13 Oct 2022
Figure 1. Research Assistant Professor Zheng YAN (on the right) and Associate Professor Zi Yang MENG from HKU Department of Physics standing in the imaginary space decorated with the novel quantum states they discovered. The HKU Physics team and their collaborators designed a soft-constrained model to describe the programmable quantum simulator and predict the novel entangled states on it. The research work has been published in Nature Communications recently.
Figure3. The obtained phase diagram in this work. Within different phases, the even Z2 quantum spin liquid (QSL) and odd Z2 QSL are topological ordered novel states of matter that are expected to exist in the Rydberg atom array experiments on Kagome lattices.
Figure 4. Distinguishing the topological orders and trivial phases by designed measurements.
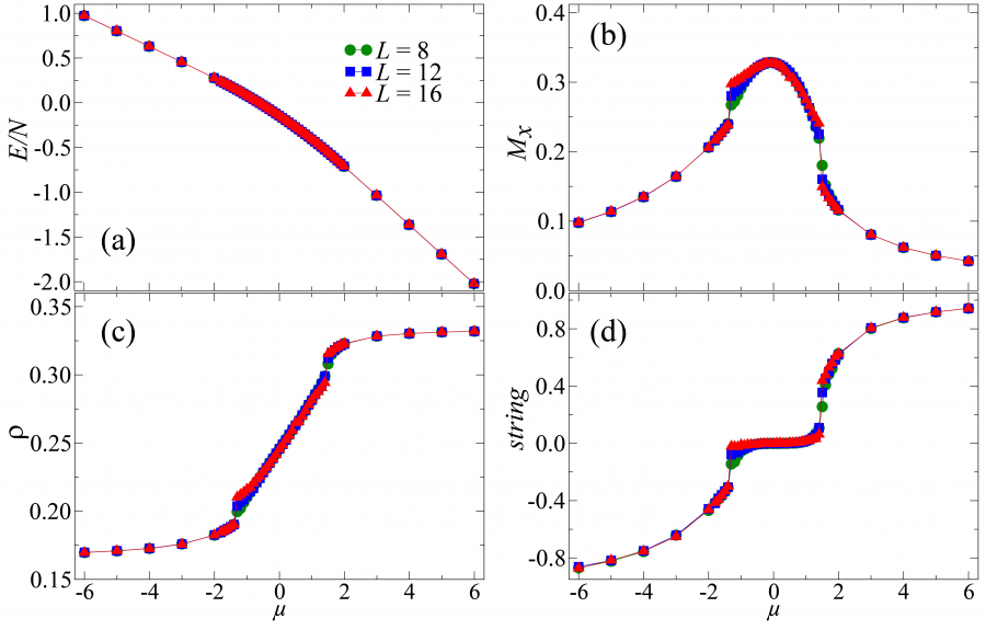
Illustration: Phase transitions between QSLs and the PM phase. Data along the QSL–PM–QSL path, indicated by the dashed line at V = 0.9 in Fig. 2. (a) The energy density is smooth with increasing µ. (b) The polarization Mx reveals the first-order phase transition between the PM phase and the two Z2 QSLs. (c) The dimer filling changes continuously in the PM phase, and the filling also exhibits a first-order phase transition between the PM phase and QSLs. (d) The string operator is zero in the trivial PM phase but positive (negative) in the even (odd) Z2 QSL.
Quantum science has not only deepened human understanding of the structure of matter and its microscopic interactions, but also introduced a new paradigm of computing and information science — quantum computing and quantum simulation. Quantum informatics research has won the 2022 Nobel Prize in Physics. Among many quantum computing and simulation platforms, Rydberg Atom Arrays is considered the most promising system to show quantum superiority among many programmable quantum simulator platforms in recent years due to its largest number of qubits and highest experimental accuracy.
Such optical lattices consist of individual neutral alkaline-earth atoms with significant dipole moments trapped in arrays of microscopic dipole traps, that can be optically moved at will to make desired lattice geometry. Each atom can be excited to its Rydberg state, and a pair of excited states interact through their dipole moments via a long-range interaction (see Fig.2). Such Rydberg atom arrays are believed by many to be the system with the highest level of experimental precision and number of qubits in recent years within all platforms for programmable quantum simulators. The observations of quantum phase transitions and the signature of topological orders from Rydberg atom arrays have been reported with tremendous speed.
However, the long-range interaction and the Rydberg blockade mechanism in these optical lattices can have both pros and cons. On the one hand, they give rise to the high precision of experimental quantum control, as mentioned above. Still, on the other hand, they enforce the constraints on modelling the system. Such quantum-constrained many-body systems are among the hardest to study from theoretical and numerical perspectives. Without a precise theoretical understanding of the complete phase diagrams and novel quantum phases, future experiments will have no guidance to continue.
Such an apparent conundrum, faced by all scientists in the field, is partially and substantially solved by a joint effort of Research Assistant Professor Zheng YAN and Associate Professor Zi Yang MENG from the Department of Physics, the University of Hong Kong (HKU) and the renowned physicist Professor Subir SACHDEV (member of American Academy of Arts and Sciences) from Harvard University and his then student Dr Rhine SAMAJDAR now Postdoctoral fellow at Princeton University and Dr Yan-Cheng WANG (Researcher) from Beihang Hangzhou Innovation Institute Yuhang at Hangzhou. Their research work has been published in the recent issue of the high-profile, multidisciplinary scientific journal Nature Communications.
They designed a new triangular lattice quantum dimer model with soft constraints to be as close as possible to experiment conditions and developed the sweeping cluster algorithm for quantum Monte Carlo simulations that could solve such soft-constrained quantum many-body systems efficiently. Their simulations and theoretical analysis successfully map out the expected phase diagram of Rydberg arrays on the Kagome lattice (as shown in Fig.3). They found not only the expected and conventional nematic and stagger types of the solid phases but also the exotic highly entangled Z2 quantum spin liquids (QSL) with large parameter regimes in the phase diagram.
They identify these novel phases by designing non-local measurements of string operators and other physical observables in the quantum Monte Carlo simulations. As shown in Fig.4, the difference between QSL and trivial paramagnetic phase is distinguished successfully. The most exciting thing is that a path connecting odd Z2 QSL, trivial paramagnetic (PM) phase, and even QSL and solid phases has been revealed, which is very useful in guiding the Rydberg arrays experiment. In addition, they have also studied the dynamics and interactions of the fractional quasiparticles (visons) in the Z2 QSL to give more experimentally probable evidence.
These results highlight the richness of their constrained models derived for Rydberg array systems and exploit various new phases induced by the long-range interactions and Rydberg blockade mechanism. Their work will become the guiding information for future developments in the field. More details can be found in the journal paper: https://www.nature.com/articles/s41467-022-33431-5.
The work was supported by the Research Grants Council of HKSAR, the Areas of Excellence “2D Materials Research: Fundamentals Towards Emerging Technologies”, the Seed Funding Quantum-Inspired explainable-AI at the HKU-TCL Joint Research Centre for Artificial Intelligence. The research team thanks the HPC2021 system under the Information Technology Services at the University of Hong Kong and the Tianhe-II platform at the National Supercomputer Center in Guangzhou for their technical support and a generous allocation of CPU time.
Image download and caption: https://www.scifac.hku.hk/press
For media enquiries, please contact Ms Casey To, External Relations Officer (tel: 3917 4948; email: caseyto@hku.hk / Ms Cindy Chan, Assistant Director of Communications of HKU, Faculty of Science (tel: 3917 5286; email: cindycst@hku.hk).