Media
Quantum material research connecting physicists in Hong Kong, Beijing and Shanghai facilitates discovery of better materials that benefit our society
15 Jun 2020
Figure 1. Spin texture and vortex in quantum magnet TMGO when the material is inside the topological KT phase.
A joint research team from the University of Hong Kong (HKU), Institute of Physics at Chinese Academy of Science, Songshan Lake Materials Laboratory, Beihang University in Beijing and Fudan University in Shanghai, has provided a successful example of modern era quantum material research. By means of the state-of-art quantum many-body simulations, performed on the world’s fastest supercomputers (Tianhe-I and Tianhe-III protype at National Supercomputer Center in Tianjin and Tianhe-II at National Supercomputer Center in Guangzhou), they achieved accurate model calculations for a rare-earth magnet TmMgGaO4 (TMGO). They found that the material, under the correct temperature regime, could realise the the long-sought-after two-dimensional topological Kosterlitz-Thouless (KT) phase, which completed the pursuit of identifying the KT physics in quantum magnetic materials for half a century. The research work has been published in Nature Communications.
Quantum materials are becoming the cornerstone of the continuous prosperity of human society. From the next-generation AI computing chips that go beyond Moore’s law (the law is the observation that the number of transistors in a dense integrated circuit doubles about every two years, our PCs and smartphones are all based on the success of it. Nevertheless, as the size of the transistors are becoming smaller to the scale of nanometer, the behaviour of electrons are subject to quantum mechanics, Moore’s law is expected to breakdown very soon), to the high speed Maglev train and the topological unit for quantum computers, investigations along these directions all belong to the arena of quantum material research.
However, such research is by no means easy. The difficulty lies in the fact that scientists have to solve the millions of thousands of the electrons in the material in a quantum mechanical way (hence quantum materials are also called quantum many-body systems), this is far beyond the time of paper and pencil, and requires instead modern quantum many-body computational techniques and advanced analysis. Thanks to the fast development of the supercomputing platforms all over the world, scientists and engineers are now making great use of these computation facilities and advanced mathematical tools to discover better materials to benefit our society.
The research is inspired by the KT phase theory avocated by J Michael Kosterlitz, David J Thouless and F Duncan M Haldane, laureates of the Nobel Prize in Phyiscs 2016. They were awarded for their theoretical discoveries of topological phase and phase transitions of matter. Topology is a new way of classifying and predicting the properties of materials in condensed matter physics, and is now becoming the main stream of quantum material research and industry, with broad potential applications in quantum computing, lossless transmission of signals for information technology, etc. Back in the 1970s, Kosterlitz and Thouless had predicted the existence of topological phase, hence named after them as the KT phase, in quantum magnetic materials. However, although such phenomena have been found in superfluids and superconductors, KT phase has yet been realised in bulk magnetic material.
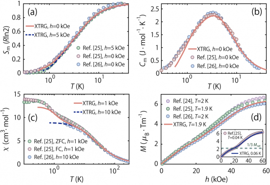
The joint team is led by Dr Zi Yang Meng from HKU, Dr Wei Li from Beihang Univeristy and Professor Yang Qi from Fudan University. Their joint effort has revealed the comprehensive properties of the material TMGO. For example, in Figure 2, by self-adjustable tensor network calculation, they computed the properties of the model system at different temperatures, magnetic field, and by comparing with the corresponding experimental results of the material, they identified the correct microscopic model parameters. With the correct microscopic model on hand, they then performed quantum Monte Carlo simulation and obtained the neutron scattering magnetic spectra at different temperatures (neutron scattering is the established detection method for material structure and their magnetic properties, the closest such facility to Hong Kong is the China Spallation Neutron Source in Dongguan, Guangdong). As shown in Figure 3, the magnetic spectra with its unique signature at the M point is the dynamical fingerprint of the topological KT phase that has been proposed more than half-a-century ago.
“This research work provides the missing piece of topological KT phenomena in the bulk magnetic materials, and has completed the half-a-century pursuit which eventually leads to the Nobel Physics Prize of 2016. Since the topological phase of matter is the main theme of condensed matter and quantum material research nowadays, it is expected that this work will inspire many follow-up theoretical and experimental researches, and in fact, promising results for further identification of the topological properties in quantum magnet have been obtained among the joint team and our collaborators,” said Dr Meng.
Dr Meng added: “The joint team research across Hong Kong, Beijing and Shanghai also sets up the protocol of modern quantum material research, such protocol will certainly lead to more profound and impactful discoveries in quantum materials. The computation power of our smartphone nowadays is more powerful than the supercomputers 20 years ago, one can optimistically foresee that with the correct quantum material as the building block, personal devices in 20 years' time can certainly be more powerful than the fastest supercomputers right now, with minimal energy cost of everyday battery.”
About the team
Dr Zi Yang Meng is the world leading expert in developing and employing large scale quantum Monte Carlo simulation upon quantum many-body systems, and have recently made breakthrough in quantum metal research (Breakthrough in Understanding Quantum Metals: https://www.hku.hk/research/stories/20645/); Dr Wei Li is the developer of state-of-art tensor network approach that could compute the temperature and magnetic field response of quantum many-body systems; Professor Yang Qi performed the quantum field theory analysis of the numerical results and make sense of it all.
About the Tianhe Supercomputers
Tianhe-1 and Tianhe-2 are the large supercomputers in China, they are among the world fastest supercomputer and were the No.1 in 2010 and 2014 in the TOP500 list https://www.top500.org/. Tianhe-3 supercomputer is expected to be in usage in 2021 and will be world first exaFLOPS scale supercomputer. The quantum Monte Carlo and tensor network simulations performed by the joint team make use of the Tianhe supercomputers and requires the parallel simulations for thousands of hours on thousands of CPUs, it will take more than 20 years to finish if performed in common PC.
The work was supported by the Research Grants Council of HKSAR, the Ministry of Science and Technology of China and the National Science Foundation of China. The joint team would in particular like to thank the Computational Initiative at the Faculty of Science and the Information Technology Services at the University of Hong Kong, for their understanding, support and promotion of the large-scale computational oriented researches.
Link of journal paper: https://www.nature.com/articles/s41467-020-14907-8
Images download and captions: https://www.scifac.hku.hk/press
For media enquiries, please contact Ms. Cindy Chan, Assistant Director of Communications of HKU Faculty of Science (tel: 3917 5286; email: cindycst@hku.hk).